\( \newcommand{\combin}[2]{{}^{#1}C_{#2} } \newcommand{\cmod}[3]{#1 \equiv #2\left(\bmod {}{#3}\right)} \newcommand{\mdc}[2]{\left( {#1},{#2}\right)} \newcommand{\mmc}[2]{\left[ {#1},{#2}\right]} \newcommand{\cis}{\mathop{\rm cis}} \newcommand{\sen}{\mathop{\rm sen}} \newcommand{\senq}{\mathop{\rm sen^2}} \newcommand{\tg}{\mathop{\rm tg}} \newcommand{\tgq}{\mathop{\rm tg^2}} \newcommand{\arctg}{\mathop{\rm arctg}} \newcommand{\vect}[1]{\overrightarrow{#1}} \newcommand{\tr}[1]{ \textnormal{Tr}\left({#1}\right)} \newcommand{\N}{\mathbb{N}} \newcommand{\Z}{\mathbb{Z}} \newcommand{\Q}{\mathbb{Q}} \newcommand{\R}{\mathbb{R}} \newcommand{\C}{\mathbb{C}} \newcommand{\H}{\mathbb{H}} \newcommand{\vect}[1]{\overrightarrow{#1}} \newcommand{\Mod}[1]{\ (\mathrm{mod}\ #1)} \)

quinta-feira, 28 de agosto de 2014

Vamos lá iniciar o ano lectivo 2014/2015

Encontrei esta imagem no facebook...

 Partindo do princípio de que estamos a trabalhar em graus e que resolvi isto bem, apetece mesmo a responder:dêm a solução à mulher mais "intragável", insuportável, burra e feia que conhecerem!

Em caso de erro (dêem um desconto: são duas da manhã) indiquem o erro...
86 é indicativo da China?!

PS: Para ver os meus cálculos em versão maior... dar um clique sobre a imagem.

terça-feira, 3 de junho de 2014

Exames 2014

Vem aí mais uma época de exames.
Aos alunos de 9º e 12º recomendo que façam uma correcção dos testes intermédios deste ano lectivo, (principalmente aos que ainda não se deram a esse trabalho), e que vejam exames dos anos lectivos anteriores para ter uma ideia das áreas onde têm mais dificuldades.

A nível de explicações só aceito alunos de 12º para a segunda fase até à primeira semana após a realização do exame da primeira fase.

Para o 9º ano, os interessados em preparar o exame deverão contactar a Gavela de Saberes na Casa do Povo da Camacha até ao final da primeira semana de Junho.

segunda-feira, 31 de março de 2014

Link sugerido aos alunos de 11º e 12º, como exercício de revisão de Trigonometria e Geometria:
http://cpaulof2.blogspot.pt/2014/03/a-area-e-o-perimetro-de-poligonos.html

Passar com negativa no ensino secundário

Nos últimos anos tenho me deparado com a bizarra situação de ver alunos nos 10º e 11º passarem com notas 8 ou 9... (é possível sim, ver aqui)
Tendo em conta que na avaliação entram outros factores para além do conhecimento/notas dos exames, o cenário é aterrador pois significa que os alunos transitam com um grande défice de conhecimento.
Este ano, não foi excepção, e mais uma vez assisto ás contas desesperadas de quem passou com nota abaixo de 10 (e só me procurou a meio do ano lectivo... explicações de Matemática levam algum tempo a sortir efeito, quando se trata de falta de bases ou de maus hábitos de trabalho)

Quando em explicações peço a estes alunos para lutarem desde princípio para o 20, pensam que estou a gozar. Não estou! É um assunto demasiado sério. E realisticamente, duvido que atinjam o 20, mas é a luta.
 a sério que faz os os resultados aparecerem..
Ora, as explicações existem para colmatar falhas e corrigir hábitos nos alunos,e com uma luta destas podemos detectar muito do que está mal..
Mas estes alunos têm mesmo de trabalhar.
(Já agora... sim já uma vez consegui que um destes alunos tivesse um 20.. até hoje acho que ele próprio está incrédulo)

Estas más notas acabam por gerar uma falta de confiança, que mesmo com explicações é complicado inverter.
Já tive vários casos de sucesso a inverter esta mentalidade, a que se seguiram notas razoáveis nos testes e alguns insucessos  mas com melhoria significativa nos testes.

Sem trabalho não há resultados, e sem confiança... o trabalho não rende.
Em Matemática, pela sua especificidade, o trabalho é fundamental, e uma confiança muito abalada não ajuda em nada (e aqui posso falar por exemplo, do meu último mestrado onde havia uma peça...).

Eu acabo por insistir, por vezes tornando-me chato..., mas tento sempre fornecer material que seja interessante (gostam das ninhas blog-apps? São apenas 1% do material que uso...)...

Tenho imensa pena de ver alunos desistir de Matemática por acharem que não são capazes...
Alunos a quem não falta inteligência, mas falta motivação e trabalho.
Há alunos que simplesmente se recusam a trabalhar para ultrapassar as suas dificuldades.
Outras vezes, tenho de reconhecer que por vezes o maior motivo da falta de confiança reside no professor (mas alto lá... acusar um professor, não é algo que eu faça de ânimo leve. até porque  a maioria dos profissionais que eu conheço, e de onde vêm muitos alunos para as minhas explicações são excelentes e dedicados profissionais, portanto, antes de acusar um professor, procure exaustivamente todas as causas possíveis...)

Por outro lado, existem aqueles alunos que apanham tudo á primeira, e para quem tudo é facil... Mas atenção, pode haver sempre uma altura em que as coisas não sejam assim, e portanto, a falta de trabalho pode levar a um descarrilamento total, que é o que acontece muitas vezes, quando há uma mudança. Ou de professor, ou de escola, ou de turma...

Permitir passar com negativa é dar uma carta de confiança a um aluno, mas o que tenho visto... é desesperante. Alguém tem de convencer estes alunos que só com trabalho se ultrapassam as dificuldades, de preferência sem os traumatizar...

Permitir passar com negativa pode ter sido uma boa intenção... mas para muita gente, essa opção é muito discutível, visto que acaba por complicar também as contas de acesso ao ensino superior..

Compreendo que nem todos possam gostar de Matemática... mas tem sido desesperante ver alunos e mesmo ex-alunos em situações bem complicadas, alunos que por mais que eu queira ajudar, não consigo fazer milagres... :(  e por vezes... tenho mesmo de recusar dando a triste notícia de que já nada se pode fazer.

sexta-feira, 28 de março de 2014

O fantastico e

Deixo aqui um link para um texto com dois anos...
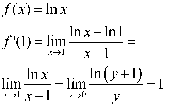
Limites notáveis: e

Um dias destes tenho de lhe dar uma sequela.

E, já agora, a resolução ao exercício proposto é:
Ou, alternativamente, para escrever menos...

segunda-feira, 24 de março de 2014

Decidi adicionar algumas das minhas aplicações Geogebra ao blog...
ver secção Blog Apps.
Original em geogebratube.org